出品:科普中国
作者:王明志
策划:武玥彤
监制:光明网科普事业部
网友提问:直升机和固定翼飞机飞到相同的高度,哪个需要的能量少?
专家解答:
比较两种飞行器的飞行性能是很常见的方法。但由于直升机和固定翼飞机分属于两类特性完全不同的飞行器,在飞行性能分析上一般不对两者进行比较,不过仍然可以用能量法对两类飞行器的上升性能进行分析。
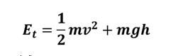
美国著名战斗机飞行员博伊德提出能量机动性以及单位重量剩余推力的概念。根据牛顿定律,飞行器在一定高度上以一定速度飞行时的总能量是其动能和势能之和,如下式:

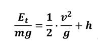
对上式做变换,可得如下形式:

公式左边称为飞行器的能量高度,从这个公式中可以找到本问题的答案。能量高度的力学含义是飞行器单位重量所具有的能量,公式右侧两部分分别代表了飞行器的动力高度和水平高度。飞行器能量高度的力学意义是:飞行器在上升高度的过程中,如果发动机的推力等于飞行器的气动阻力,那么随飞行高度的增加,飞行器的动能将转变为势能;而当飞行器在上升到某个高度时,飞行速度减小到零,此时的飞行高度就等于能量高度。建立能量高度的概念有很重要的飞行力学意义,有助于研究比较动能变化时,飞行器的最短上升时间和以速度换取高度的动升限性能。利用博伊德的单位重量剩余推力概念,也能很方便地研究飞行器的上升性能、加速性能和转弯机动性能。
度量直升机上升性能的指标主要有上升率、最大上升率、上升速度、最优上升速度、上升时间和动升限。对于直升机而言,在重量一定的情况下,上升角的大小与直升机剩余功率成正比,与水平分速度成反比;上升率也与直升机的剩余功率成正比,与直升机的重量成反比。
感想:这……不得不说,字我都认识,但是真的看不懂_(:з」∠)_,所以答案是什么?